(供稿 物理与电子科学学院)近日,我校物理与电子科学学院、低维量子结构与调控教育部重点实验室、物质微结构与功能湖南省重点实验室、量子效应及其应用协同中心廖洁桥教授课题组在容噪光力纠缠方面取得重要进展,在国际顶尖期刊Phys. Rev. Lett.发表题为“Noise-Tolerant Optomechanical Entanglement via Synthetic Magnetism ”的学术论文。近年来,廖洁桥教授课题组一直围绕着暗模操控课题开展研究,取得了一系列研究成果,先后在国际知名期刊发表多篇论文:Phys. Rev. A (Rapid Communication) 102, 011502 (2020);Phys. Rev. A 102, 023707(2020);Phys. Rev. A 106, 013526 (2022)。
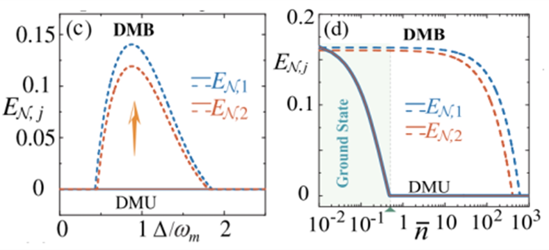
廖洁桥教授课题组首次提出运用合成磁场方法来操控暗模效应,从而制备对暗模和热噪声免疫的光力纠缠。该方法具有普适性,可应用于量子物理学中的其他暗态操控课题。
廖洁桥教授为本论文的唯一通讯作者,华体会平台为该论文的第一单位,我校博士生赖登高(现为日本理化学研究所博士后)为本论文第一作者,波兰波兹南密茨凯维奇大学Adam Miranowicz教授和日本理化学研究所Franco Nori教授参与了部分研究工作。该工作获得了国家自然科学基金、湖南省自然科学基金和湖南省科技创新计划的资助。


图:(a)单个光学模式耦合两个力学模式的物理模型示意图。(b)单个光学模式耦合多个力学模式的物理模型示意图。(c,d)当存在暗模(DMU)和打破暗模(DMB)时,光力纠缠度量随着(c)腔场失谐和(d)热声子数的变化。
相关论文链接:https://journals.aps.org/prl/abstract/10.1103/PhysRevLett.129.063602
编辑:杜于蓝
责编:马铁泉
审核:陈丽荣
